Question 1199566: The numbers 2, b, c, d, 72 are listed in increasing order so that 2, b, c form an arithmetic sequence, b, c, d form a geometric sequence, and c, d, 72 form a harmonic sequence. What is the value of b + c?
Answer by greenestamps(13200) (Show Source):
You can put this solution on YOUR website!
Let x be the common difference in the arithmetic sequence. Then....
2, b, and c form an arithmetic sequence, so


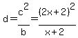
b, c, and d form a geometric sequence, so


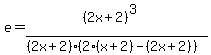
c, d, and e form a harmonic sequence, so




So we have




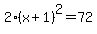
We need to have e = 72. Simplify the expression for e, starting by multiplying numerator and denominator of the fraction by (x+2).




Then solve for e=72.




And we have for the sequence of numbers:
2
b = 2+5 = 7
c = 7+5 = 12
d = 12^2/7 = 144/7
e = (12(144/7))/(24-144/7) = (1728/7)/(24/7) = 72
ANSWER: b+c = 7+12 = 19
|
|
|