SOLUTION: Write the formula describing the sequence 6,14,22,30.
Algebra
->
Sequences-and-series
-> SOLUTION: Write the formula describing the sequence 6,14,22,30.
Log On
Algebra: Sequences of numbers, series and how to sum them
Section
Solvers
Solvers
Lessons
Lessons
Answers archive
Answers
Click here to see ALL problems on Sequences-and-series
Question 1189532
:
Write the formula describing the sequence 6,14,22,30.
Found 2 solutions by
josgarithmetic, MathLover1
:
Answer by
josgarithmetic(39618)
(
Show Source
):
You can
put this solution on YOUR website!
Each successive term is 8 added to the previous term.
Your sequence has ONLY four terms.
Answer by
MathLover1(20850)
(
Show Source
):
You can
put this solution on YOUR website!
Write the formula describing the sequence
,
,
,
.
sequence:.....
.......
.......
.......
differences:.........
........
.........
=>
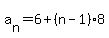
The formula for
th term of an arithmetic progression is
In this example we have
and
, than