SOLUTION: Please check the document for a better visual. https://docs.google.com/document/d/1Cl3HrcoR6jibNzxfDTIilS3imSplLY8nQUU0OpU9vLA/edit?usp=sharing

Algebra ->  Sequences-and-series -> SOLUTION: Please check the document for a better visual. https://docs.google.com/document/d/1Cl3HrcoR6jibNzxfDTIilS3imSplLY8nQUU0OpU9vLA/edit?usp=sharing      Log On


   



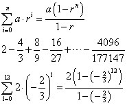
Question 1181414: Please check the document for a better visual.
https://docs.google.com/document/d/1Cl3HrcoR6jibNzxfDTIilS3imSplLY8nQUU0OpU9vLA/edit?usp=sharing

Answer by Solver92311(821) About Me  (Show Source):
You can put this solution on YOUR website!

.

You can do your own arithmetic

John

My calculator said it, I believe it, that settles it

From
I > Ø