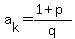
SOLUTION: If the series {ak} satisfies that a1 = 1, and a2 = 2, and ak - 4a(k-1) + 3a(k-2) = 0 (k >= 0), then ak = (1 + p)/q. Find p and q for all values of k >= 1.

Algebra ->  Sequences-and-series -> SOLUTION: If the series {ak} satisfies that a1 = 1, and a2 = 2, and ak - 4a(k-1) + 3a(k-2) = 0 (k >= 0), then ak = (1 + p)/q. Find p and q for all values of k >= 1.      Log On


   



Question 1163040: If the series {ak} satisfies that a1 = 1, and a2 = 2, and ak - 4a(k-1) + 3a(k-2) = 0 (k >= 0), then ak = (1 + p)/q. Find p and q for all values of k >= 1.
Found 2 solutions by Edwin McCravy, ikleyn:
Answer by Edwin McCravy(20056) About Me  (Show Source):
You can put this solution on YOUR website!
Something is wrong with this problem, as I show below.

If the series {ak} satisfies that a1 = 1, and a2 = 2, and ak - 4a(k-1) + 3a(k-2) = 0 (k >= 0), then ak = (1 + p)/q. Find p and q for all values of k >= 1.


We substitute k=2



a%5B2%5D+-+4a%5B1%5D+%2B+3a%5B0%5D+=+0

2+-+4%281%29+%2B+3a%5B0%5D+=+0

2+-+4+%2B+3a%5B0%5D+=+0







-----

Next we substitute k=3



a%5B3%5D+-+4a%5B2%5D+%2B+3a%5B1%5D+=+0

a%5B3%5D+-+4%282%29+%2B+3%281%29+=+0

a%5B3%5D+-+8+%2B+3+=+0







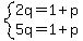
So we have these two equations in p and q:

system%282q=1%2Bp%2C5q=1%2Bp%29

This can't be because the solution to that system is p=-1, q=0,

But q is in the denominator of 

a%5Bk%5D+=+%281+%2B+p%29%2Fq

and so q cannot be 0.  So the problem is botched.

You can correct it in the space below if you like
and I'll get back to you by email. 

Edwin

Answer by ikleyn(52788) About Me  (Show Source):
You can put this solution on YOUR website!
.

A short notice.

The recursive formula in the post determines the sequence,  which is not a constant.


        It is almost  OBVIOUS.


But the formula   a%5Bk%5D = %281%2Bp%29%2Fq   determines a  CONSTANT  value.

Therefore,  it is  CLEAR  that there is an  ERROR  in your post,  which makes it incorrect.

Look into your source and find the error.

Then re-post to the forum.

If you do,  please do not re-post to me personally.