SOLUTION: An arithmetic series has a sum of -823.5 with 27 terms. The first term is 5. Determine t27
Algebra
->
Sequences-and-series
-> SOLUTION: An arithmetic series has a sum of -823.5 with 27 terms. The first term is 5. Determine t27
Log On
Algebra: Sequences of numbers, series and how to sum them
Section
Solvers
Solvers
Lessons
Lessons
Answers archive
Answers
Click here to see ALL problems on Sequences-and-series
Question 1162998
:
An arithmetic series has a sum of -823.5 with 27 terms. The first term is 5. Determine t27
Found 2 solutions by
ikleyn, greenestamps
:
Answer by
ikleyn(52787)
(
Show Source
):
You can
put this solution on YOUR website!
.
It is a TWIN problem to the problem solved under this link
https://www.algebra.com/algebra/homework/Sequences-and-series/Sequences-and-series.faq.question.1162999.html
Having this TEMPLATE in front of view, solve the given problem BY THE SAME WAY on your own.
Answer by
greenestamps(13200)
(
Show Source
):
You can
put this solution on YOUR website!
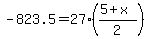
The sum of the terms in an arithmetic sequence is the number of terms, multiplied by the average of the terms.
In an arithmetic sequence, the average of all the terms is the average of the first and last terms.
So in this problem, if x is the 27th (last) term,
ANSWER: The 27th term is -66.