Question 1160078: 1. Find the 25th term of the arithmetic sequence
‒7, ‒4, ‒1, 2, ...
2. In an arithmetic sequence, if a4 = 18 and a10 = 30, determine a1, d, and an.
Then write the first four terms of the sequence.
3. In a geometric sequence, if a3 = ‒5 and a6 = 40, determine a1, r, and an.
Then write the first three terms of the sequence.
Found 2 solutions by MathLover1, greenestamps: Answer by MathLover1(20850) (Show Source):
You can put this solution on YOUR website!
1. Find the th term of the arithmetic sequence
, , , , ...
first term: 
second term: 
third term:
fourth term:
so, common difference is
nth term formula is:

th term->



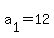
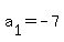
2. In an arithmetic sequence, if and , determine , , and .
Then write the first four terms of the sequence.
....use

...........solve for 
..........eq.1
....use 


..............eq.2
from eq.1 and eq.2 we have
......solve for



go to eq.1
..........eq.1, substitute 


your nth term formula is:
since first term is and the difference is , the second is


and third term is

the first four terms of the sequence are: , , ,
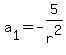
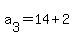
3. In a geometric sequence, if and , determine , , and .
Then write the first three terms of the sequence.
use

..........solve for 
................eq.1
use

..........solve for 
................eq.2
from eq.1 and eq.2 we have
.......solve for 

.......cross multiply




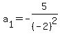
go to
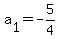
................eq.1, plug in
so, nth term formula is
to write the first three terms of the sequence, we need to find second term





so, the first three terms of the sequence are: , ,
Answer by greenestamps(13200) (Show Source):
You can put this solution on YOUR website!
These are straightforward problems involving arithmetic and geometric sequences; you can do the arithmetic....
1. Find the 25th term of the arithmetic sequence ‒7, ‒4, ‒1, 2, ...
The common difference is +3
The 25th term is the first term, plus the common difference 24 times
2. In an arithmetic sequence, if a4 = 18 and a10 = 30, determine a1, d, and an.
Then write the first four terms of the sequence.
The difference between the 4th term and the 10th term is 30-18 = 12; that difference is 6 times the common difference.
So you can easily find the common difference, d.
Then the first term a1 is the 4th term, minus 3 times the common difference.
Then the formula for an is the first term, plus (n-1) times the common difference.
3. In a geometric sequence, if a3 = ‒5 and a6 = 40, determine a1, r, and an.
Then write the first three terms of the sequence.
The 6th term, 40, is the 3rd term, (-5), multiplied by the common ratio 3 times:



You have r; the first term a1 is the third term, -5, DIVIDED BY the common ratio two times; the formula for an is the first term, multiplied by the common ratio (n-1) times.
|
|
|