SOLUTION: evaluate each geometric series described http://prntscr.com/sg4tmc
Algebra
->
Sequences-and-series
-> SOLUTION: evaluate each geometric series described http://prntscr.com/sg4tmc
Log On
Algebra: Sequences of numbers, series and how to sum them
Section
Solvers
Solvers
Lessons
Lessons
Answers archive
Answers
Click here to see ALL problems on Sequences-and-series
Question 1159038
:
evaluate each geometric series described
http://prntscr.com/sg4tmc
Answer by
MathLover1(20850)
(
Show Source
):
You can
put this solution on YOUR website!
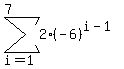
23.
=
=
=
=
24.
=
=
=