SOLUTION: find the term named in the problem, the explicit formula, and the recursive formula http://prntscr.com/sbdhmp

Algebra ->  Sequences-and-series -> SOLUTION: find the term named in the problem, the explicit formula, and the recursive formula http://prntscr.com/sbdhmp      Log On


   



Question 1158164: find the term named in the problem, the explicit formula, and the recursive formula
http://prntscr.com/sbdhmp

Answer by MathLover1(20850) About Me  (Show Source):
You can put this solution on YOUR website!

5.
-3,-10,-17,-24,...

common difference is d=+-7
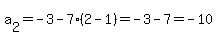
1st term a%5B1%5D=-3
a%5Bn%5D=a%5B1%5D%2Bd%28n-1%29
a%5Bn%5D=-3-7%28n-1%29
check:

a%5B1%5D=-3-7%281-1%29=-3
a%5B2%5D=-3-7%282-1%29=-3-7=-10-> both true
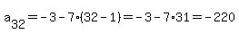
then 32nd term is
a%5B32%5D=-3-7%2832-1%29=-3-7%2A31=-220

6.
-9,-6,-3,0,...
common difference is d=+3
1st term a%5B1%5D=-9
a%5Bn%5D=-9%2B3%28n-1%29
check:
a%5B1%5D=-9%2B3%281-1%29=-9
a%5B2%5D=-9%2B3%282-1%29=-9%2B3=-6
a%5B3%5D=-9%2B3%283-1%29=-9%2B6=-3-> all true
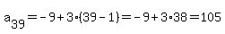
then 39th term will be:
a%5B39%5D=-9%2B3%2839-1%29=-9%2B3%2A38=105