SOLUTION: find the sum 2+(-6)+18 + ......(-486)

Algebra ->  Sequences-and-series -> SOLUTION: find the sum 2+(-6)+18 + ......(-486)       Log On


   



Question 1152056: find the sum 2+(-6)+18 + ......(-486)

Found 2 solutions by MathLover1, MathTherapy:
Answer by MathLover1(20850) About Me  (Show Source):
You can put this solution on YOUR website!
find the sum 2%2B%28-6%29%2B18++ ......%28-486%29
r=-6%2F2=18%2F-6=-3 => common ratio isr=+-3
first term: a%5B1%5D=2
last term:+t%5Bn%5D=-486

the number of terms in this sequence is:

+t%5Bn%5D=a%5B1%5D%2Ar%5E%28n-1%29
+-486=2%2A%28-3%29%5E%28n-1%29
+-cross%28486%29243=cross%282%29%2A%28-3%29%5E%28n-1%29
+-243=%28-3%29%5E%28n-1%29.........-243=%28-3%29%5E5
+%28-3%29%5E5=%28-3%29%5E%28n-1%29............exponents with same base, so
5=n-1+
n=5%2B1
n=6


then, the sum of all terms is:

S%5Bn%5D=%28a%5B1%5D%281-r%5En%29%29%2F%281-r%29

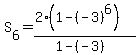
S%5B6%5D=%282%281-%28-3%29%5E6%29%29%2F%281-%28-3%29%29

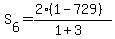
S%5B6%5D=%282%281-729%29%29%2F%281%2B3%29

S%5B6%5D=%282%281-729%29%29%2F4

S%5B6%5D=%28cross%282%29%28-728%29%29%2Fcross%284%292

S%5B6%5D=-728%2F2

S%5B6%5D=-364


Answer by MathTherapy(10552) About Me  (Show Source):
You can put this solution on YOUR website!

find the sum 2+(-6)+18 + ......(-486)
A seen this is a G.P.
Sum of a G.P.: matrix%281%2C3%2C+S%5Bn%5D%2C+%22=%22%2C+%28a%5B1%5D+-+a%5Bn%5D+%2A+r%29%2F%281+-+r%29%29, where: