Question 1151584: Find the 100th and nth term for each of the following sequences.
a. 1,5,9,13,...
b.70,120,170...
c.1,3,9....
d.8,8^4,8^7,8^10,...
e.109+7x3^32,109+8x3^32,109+9x3^32,...
Found 2 solutions by ikleyn, MathLover1: Answer by ikleyn(52790) (Show Source): Answer by MathLover1(20850) (Show Source):
You can put this solution on YOUR website!
Find the th and nth term for each of the following sequences.
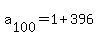
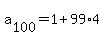
a. 1,5,9,13,...



=> common difference , arithmetic sequence
the th formula:
so, the th term will be:
b.70,120,170...


=> common difference , arithmetic sequence
the th formula:
so, the th term will be:
c.1,3,9....


=> common ratio , geometric sequence
the th formula:
the th term will be:


d.
8,8^4,8^7,8^10,...
note that exponents of first and second term differ by , same for second and third term, and same for third and fourth term

the th formula:
where = , ,....
the th term will be:


=> leave like this because this number is really big
e.
109+7x3^32,109+8x3^32,109+9x3^32,...
I am not quite sure if x represents, I assume multiplication
, ,
only difference is in numbers , ,
generally, where = , ,....
the th formula:
|
|
|