SOLUTION: Hi yes i need the 100th and the nth term 1,4,16,64,256

Algebra ->  Sequences-and-series -> SOLUTION: Hi yes i need the 100th and the nth term 1,4,16,64,256      Log On


   



Question 1151515: Hi yes i need the 100th and the nth term
1,4,16,64,256

Answer by MathLover1(20850) About Me  (Show Source):
You can put this solution on YOUR website!

the 100th and the nth term
1,4,16,64,256
Let's examine sequence so that we can find a formula to express its nth term. It looks like geometric sequence.
let see what is the fixed number, called the common ratio (r) :
r=4%2F1=4+ or+r=16%2F4=4
so, the common ratio is r=4

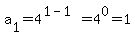
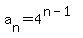
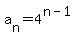
and, the nth term formula will be a%5Bn%5D+=+4%5E%28n+-+1%29
check given terms:
a%5B1%5D=1.......if n=1, a%5B1%5D+=+4%5E%281+-+1%29=+4%5E0=1->true
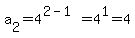
a%5B2%5D=4...=>if n=2,a%5B2%5D+=+4%5E%282+-+1%29=4%5E1=4->true
a%5B3%5D=16...=> if+n=3,+a%5B3%5D+=+4%5E%283+-+1%29=4%5E2=16->true
a%5B4%5D=64...=>if n=4,a%5B4%5D+=+4%5E%284+-+1%29=+4%5E3=64->true
a%5B5%5D=256...=>if n=5,a%5B5%5D+=+4%5E%285+-+1%29=+4%5E4=256->true

so, it is the nth term formula:
a%5Bn+%5D=+4%5E%28n+-+1%29 (for all terms given)

the 100th term is:
n=100