SOLUTION: Find a formula that generates the following sequence 2,0,2,0,2,0
Algebra
->
Sequences-and-series
-> SOLUTION: Find a formula that generates the following sequence 2,0,2,0,2,0
Log On
Algebra: Sequences of numbers, series and how to sum them
Section
Solvers
Solvers
Lessons
Lessons
Answers archive
Answers
Click here to see ALL problems on Sequences-and-series
Question 1147261
:
Find a formula that generates the following sequence 2,0,2,0,2,0
Answer by
ikleyn(52788)
(
Show Source
):
You can
put this solution on YOUR website!
.
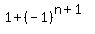
=
, n = 1, 2, 3, 4, 5, 6. Another possible formula, that works, too, is
=
, n = 1, 2, 3, 4, 5, 6.