Question 1144530: find sum to infinity for following sequence
1 , 2/3 , 3/9 , 4/27 , 5/81 , ....
Answer by Edwin McCravy(20077) (Show Source):
You can put this solution on YOUR website! 1 + 2/3 + 3/9 + 4/27 + 5/81 + ...
1/1 + 2/3 + 3/9 + 4/27 + 5/81 + ...
The sequence of numerators is 1, 2, 3, 4, 5. ..., which has nth term n.
The sequence of denominators is 1, 3, 9, 27, 81, ..., which has nth term 3n.
So the series we want has nth term  
We want the infinite sum
We start with the geometric series formula
 
Substitute a=1
  
Differentiate both sides with respect to r:
 
 
Substitute r=1/3
       
We need to make the coefficient match the exponent.
So we write the first n as n-1+1 and then as (n-1)+1
 
Distribute
 
Distribute the sum:
   
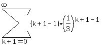
We change the limits, so that n-1 will be a single letter.
We want n-1 = k, so we substitute n = k+1
   
   
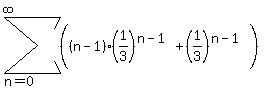
Now we can go back to our original notation by changing k to n:
   
But we now have n starting at -1. But we want n to start at 0, so we write
out the first term separately, then the rest of the sum will begin at n=0
   
Simplifying, the terms we wrote separately are -3 and 3, so they cancel:
   
The second sum is an infinite geometric series with a=1 an r=1/3 so we use
the sum formula for an infinite geometric series and get
       
So we substitute 3/2 for the second sum and have:
   
and solve for the sum, which is what we want:
         
Edwin
|
|
|