Question 1142632: Please help me solve this:
Find the general term of the sequence:
1,5/2,5,17/2,13
Found 3 solutions by greenestamps, MathTherapy, ikleyn: Answer by greenestamps(13200) (Show Source):
You can put this solution on YOUR website!
The problem is not solvable.
You can put any number(s) next that you want and it will be a valid sequence; so finding an expression for the general term is impossible.
-------------------------------------------------------------
Added after seeing the response from tutor @MathTherapy
In his response, he shows what he proclaims to be THE CORRECT answer, without showing anything about how he came up with that answer.
There are a few problems with his response.
(1) First, most tutors on this forum assume people submitting questions are wanting to learn HOW to solve problems, rather than just wanting answers. So his response is of no use to the reader.
(2) Second, his response shows a recursive formula for building the sequence; the reader asked for a (formula for) the general term of the sequence.
(3) Third, while his recursive formula generates the given sequence of numbers, there is no way of knowing that subsequent numbers in the sequence will be generated by the same formula. Without any information given in the statement of the problem about what kind of sequence it is, the subsequent numbers could be anything; so of course finding a formula for the general term is impossible.
To find a POSSIBLE ANSWER for the formula for the general term of the sequence, one thing that can be done is to rewrite the sequence in a different form and simply look for a pattern. The sequence can be written as
2/2, 5/2, 10/2, 17/2, 26/2
With a little effort, you might be able to see that, with the constant denominator 2, the numerators are 1 more than the squares of the term number:
2 = 1^2+1
5 = 2^2+1
10 = 3^2+1
etc....
That leads you to the following formula for the general term of the sequence:

However, it must be stressed again that, while this formula generates the given first 5 terms of the sequence, there is NO WAY to KNOW if it is the RIGHT ANSWER to the question, because there is nothing in the statement of the problem about what kind of sequence it is.
There is also a formal mathematical process that can be used to find the general term in the form of a polynomial for any given finite sequence of numbers. The method is called the method of finite differences; look on the internet if you want to learn more about it.
Here is how it is used to find a polynomial formula for the general term for the sequence in this problem.
But again, remember that this method finds A POSSIBLE answer to the question that is asked, because there is no information in the problem that says the sequence is generated by a polynomial function.
1 2.5 5 8.5 13 the given sequence
1.2 2.5 3.5 4.5 the "first differences"
1 1 1 the "second differences"
The constant row of second differences tells us that the sequence can be generated by a polynomial of degree 2.
So let the polynomial be and make three equations in the coefficients a, b, and c using the first three terms of the sequence; then solve the system of equations.
(1) 
(2) 
(3) 
Subtract (1) from (2) and (2) from (3) to get two equations in only a and b:
(4) 
(5) 
Subtract (4) from (5) to get an equation in a only which you can solve for a:
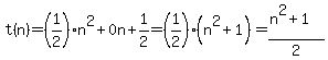
(6) --> a = 1/2
Use this value of a in (4) or (5) to find that b = 0.
Use a=1/2 and b=0 in (1) to find that c = 1/2.
The quadratic polynomial that produces the given sequence is
Answer by MathTherapy(10552) (Show Source): Answer by ikleyn(52790) (Show Source):
|
|
|