SOLUTION: the 7th term of an arithmetic sequence is 1/2 and the 14th term is 6 what is the 10th term?

Algebra ->  Sequences-and-series -> SOLUTION: the 7th term of an arithmetic sequence is 1/2 and the 14th term is 6 what is the 10th term?      Log On


   



Question 1142569: the 7th term of an arithmetic sequence is 1/2 and the 14th term is
6 what is the 10th term?

Found 3 solutions by rothauserc, Edwin McCravy, josmiceli:
Answer by rothauserc(4718) About Me  (Show Source):
You can put this solution on YOUR website!
The formula for the nth term of an arithmetic sequence is
:
x(n) = a +d(n-1), where is the first term, d is the common difference
:
x(7) = 1/2 = a +d(7-1)
:
1) a +6d = 1/2
:
x(14) = 6 = a +d(14-1)
:
2) a +13d = 6
:
equation 1, multiply both sides of = by 2
:
3) 2a +12d = 1
:
solve equation 2 for a
:
a = 6 -13d
:
substitute for a in equation 3
:
2(6-13d) +12d = 1
:
12 -26d +12d = 1
:
-14d = -11
:
d = 11/14
:
a = 6 -13(11/14)
:
a = 84/14 -143/14 = -59/14
:
******************************************
x(10) = -59/15 +11/14(9) = 40/14 = 20/7
******************************************

Answer by Edwin McCravy(20056) About Me  (Show Source):
You can put this solution on YOUR website!

__,__,__,__,__,__,1/2,__,__,??,__,__,__,__,__, 6,__,...


a%5Bn%5D=a%5B1%5D%2B%28n-1%29d


a%5B7%5D=a%5B1%5D%2B%287-1%29d

1%2F2=a%5B1%5D%2B6d


a%5B14%5D=a%5B1%5D%2B%2814-1%29d

6=a%5B1%5D%2B13d

So we have the system:

system%286=a%5B1%5D%2B13d%2C1%2F2=a%5B1%5D%2B6d%29

Solve for a1 in one of the equations and
substitute in the other to find d.  Then find d by 
substituting in the equation you got when you solved 
for d.  Then substitute the values n=10, along with 
what you got for a1 and d.


Edwin


Answer by josmiceli(19441) About Me  (Show Source):
You can put this solution on YOUR website!
+x%5Bn%5D+=+a+%2B+d%2A%28+n-1+%29+
+d+ = the difference between successive terms
+n+ = the number of the term
+a+ = the first term
------------------------------
+1%2F2+=+a+%2B+d%2A%28+7+-+1+%29+
(1) +1%2F2+=+a+%2B+6d+
------------------------------
+6+=+a+%2B+d%2A%28+14+-+1+%29+
(2) +6+=+a+%2B+13d+
------------------------------
subtract (1) from (2)
(2) +6+=+a+%2B+13d+
(1) +-1%2F2+=+-a+-+6d+
---------------------------
+11%2F2+=+7d+
+d+=+11%2F14+
and
(2) +6+=+a+%2B+13%2A%2811%2F14%29+
(2) +a+=+84%2F14+-+143%2F14+
(2) +a+=+-59%2F14+
----------------------------------
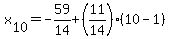
+x%5B10%5D+=+-59%2F14+%2B+%28+11%2F14+%29%2A%28+10+-+1+%29+
+x%5B10%5D+=+-59%2F14+%2B+99%2F14+
+x%5B10%5D+=+40%2F14+
+x%5B10%5D+=+20%2F7+
-----------------------------
check answer:
What is the 7th term?
+x%5B7%5D+=+-59%2F14+%2B+%28+11%2F14+%29%2A%28+7+-+1+%29+
+x%5B7%5D+=+-59%2F14+%2B+66%2F14+
+x%5B7%5D+=+7%2F14+
+x%5B7%5D+=+1%2F2+
What is the 14th term?
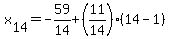
+x%5B14%5D+=+-59%2F14+%2B+%28+11%2F14+%29%2A%28+14+-+1+%29+
+x%5B14%5D+=+-59%2F14+%2B+143%2F14+
+x%5B14%5D+=+84%2F14+
+x%5B14%5D+=+6+
OK