Question 1138427: DETERMINE ALL THE TRIPLES OF POSITIVE INTEGERS (a,b,c), SUCH THAT ab+bc+ca= abc, WHERE A IS LESS THAN B LESS THAN C
Answer by greenestamps(13200) (Show Source):
You can put this solution on YOUR website!
Given: 
Move one of the terms on the left to the right side. It doesn't matter which one, because the original equation is symmetric in a, b, and c.



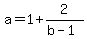
That equation says that ab is an integer that is 1 more than (a+b). So

Now solve this equation for either variable in terms of the other. Again it doesn't matter which, because again this equation is symmetric in a and b.





1 is an integer, and a has to be an integer. That means 2/(b-1) has to be an integer; and that means (b-1) has to be a factor of 2.
So b-1 has to be either 1 or 2; that means b has to be either 2 or 3.
And now we can find all the triples a, b, and c for which the given equation is true.
(1) If b = 2 then

and then
which means c is 6.
The three numbers a, b, and c (in no particular order) are 2, 3, and 6.
(2) If b = 3 then

and then (as before)
which means c is 6.
So there is a single set of three integers for which the given equation is true.
Finally, since the problem specifies a < b < c, the single solution is
{a,b,c) = (2,3,6)
|
|
|