Question 1127671: The first three terms of a G.P are x+1, x+3 and x+8, find,
i) The Value of x
ii) The common ratio
iii) The sum of the first 15 terms.
Found 4 solutions by FrankM, htmentor, MathLover1, MathTherapy: Answer by FrankM(1040) (Show Source):
You can put this solution on YOUR website! For there to be a common ratio,
And after cross multiplying -
X^2+9X+8= X^2+6X+9
9X+8=6X+9
3X=1
i) X= 1/3
ii) Therefore the first 3 numbers are 4/3, 10/3, 25/3 with a common ratio of 2.5
iii) = A (1+r^n)/(1-r) = 4/3 (1-2.5^15)/(1-2.5)
4/3 (-931321.575)/-1.5 = 827841.4
.
I used a spreadsheet to verify the solution is correct.
Answer by htmentor(1343) (Show Source):
You can put this solution on YOUR website! The common ratio r = (x+3)/(x+1) = (x+8)/(x+3)
Solve for x:
x^2 + 6x + 9 = x^2 + 9x + 8
3x = 1
x = 1/3
Therefore r = (1/3 + 3)/(1/3 + 1) = 10/4
The sum of the first n terms of a G.P. = Sn = a1*(1-r^n)/(1-r)
S15 = (4/3)(1-(10/4)^15/(1-(10/4)) = 827841.4
Answer by MathLover1(20850) (Show Source): Answer by MathTherapy(10552) (Show Source):
You can put this solution on YOUR website! The first three terms of a G.P are x+1, x+3 and x+8, find,
i) The Value of x
ii) The common ratio
iii) The sum of the first 15 terms.
I wonder if the person who calculated EACH term and then added all 15 would do the same if the question asked for the SUM of the first
100, 150, or 200 terms? If not, then why WOULD SHE do that here! RIDICULOUS!!!
Maybe she would have done the same thing, who knows!!
Why does this person continue to make these problems look so difficult and come up with the longest and most tedious way to solve these simple,
simple math problems?
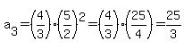
BTW: The ratio is derived from the following, and by finding the value of x, first: 
After x is found, substitute it into any of the 2 fractions to get the ratio.
Now, with the common ratio, or r, and the VALUE of the 1st term, we can determine the sum of any number of consecutive terms by using the following formula: 
You should get the same answer all 3 respondents came up with.
|
|
|