SOLUTION: a) Find in ascending powers of x the expansion of (2-x/2)^6 b) State the first three terms in the expansion of (1+ax+bx^2)^4, if these are 1+8x+12x^2,find the values of a and B.

Algebra ->  Sequences-and-series -> SOLUTION: a) Find in ascending powers of x the expansion of (2-x/2)^6 b) State the first three terms in the expansion of (1+ax+bx^2)^4, if these are 1+8x+12x^2,find the values of a and B.      Log On


   



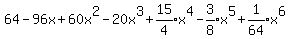
Question 1126796: a) Find in ascending powers of x the expansion of (2-x/2)^6
b) State the first three terms in the expansion of (1+ax+bx^2)^4, if these are 1+8x+12x^2,find the values of a and B.

Answer by Edwin McCravy(20056) About Me  (Show Source):
You can put this solution on YOUR website!
In case you just want the answers, and not how to get them, 
just to fool your teacher into thinking you know how to do them, 
here they are:



6a^2x^2 + 4ax + 4bx^2 + 1

1 + (6a^2+4b)x^2 + 6a^2x^2

1+%2B+%286a%5E2%2B4b%29x%5E2+%2B+6a%5E2x%5E2%2B%22...%22 since these are 1%2B8x%2B12x%5E2

then  system%281=1%2C6a%5E2%2B4b=8%2C6b%5E2=12%29

Simplifying:

system%283a%5E2%2B2b=4%2Cb%5E2=2%29

b=sqrt%282%29



But if you want to know how to get these answers then ask me
in the space below, and I'll get back to you by email  

Edwin