Question 1115602: I am having trouble understanding this problem. I am supposed to show steps and not have a decimal answer.
-17/4 is the ___ term of 2 1/4, 2, 1 3/4 ?
Thank you in advance.
Found 2 solutions by MathLover1, Alan3354: Answer by MathLover1(20850) (Show Source):
You can put this solution on YOUR website!
your sequence is
 , ,  ,........,
or
, , ,..........,
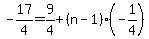
first find common difference
so,
first term
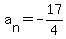
nth term =>
...since denominators same, we have
is the _ __ term of  , , ,...
Answer by Alan3354(69443) (Show Source):
You can put this solution on YOUR website! I am having trouble understanding this problem. I am supposed to show steps and not have a decimal answer.
-17/4 is the ___ term of 2 1/4, 2, 1 3/4 ?
----------
Mixed numbers are useless.
-17/4 is the ___ term of 9/4, 8/4, 7/4 ?
Notice each term is 1/4 less than the preceding term.
From 9/4 to -17/4 would be 26 "steps"
Calling 9/4 term #1 --> the 27th term.
|
|
|