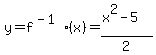
SOLUTION: A function is defined by f(x)= square root of (2x+5). What is f^-1(x), the inverse of f(x)?
Algebra
->
Sequences-and-series
-> SOLUTION: A function is defined by f(x)= square root of (2x+5). What is f^-1(x), the inverse of f(x)?
Log On
Algebra: Sequences of numbers, series and how to sum them
Section
Solvers
Solvers
Lessons
Lessons
Answers archive
Answers
Click here to see ALL problems on Sequences-and-series
Question 1111838
:
A function is defined by f(x)= square root of (2x+5). What is f^-1(x), the inverse of f(x)?
Answer by
josgarithmetic(39618)
(
Show Source
):
You can
put this solution on YOUR website!
The values for x and y switch places.
You want ONLY the right side of the graph for x greater than or equal to 0.
------NOT the left side of the graph.