SOLUTION: the sum of second term and 3rd terms of geometric sequences is 280 and sum of fifth and sixth term is 4375 determine common ratio and 1st term

Algebra ->  Sequences-and-series -> SOLUTION: the sum of second term and 3rd terms of geometric sequences is 280 and sum of fifth and sixth term is 4375 determine common ratio and 1st term      Log On


   



Question 1111732: the sum of second term and 3rd terms of geometric sequences is 280 and sum of fifth and sixth term is 4375 determine common ratio and 1st term
Answer by ikleyn(52788) About Me  (Show Source):
You can put this solution on YOUR website!
.
a%5B2%5D + a%5B3%5D = a%5B1%5D%2Ar + a%5B1%5D%2Ar%5E2 = a%5B1%5D%2Ar%2A%281%2Br%29 = 280.       (1)


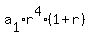
a%5B5%5D + a%5B6%5D = a%5B1%5D%2Ar%5E4 + a%5B1%5D%2Ar%5E5 = a%5B1%5D%2Ar%5E4%2A%281%2Br%29 = 4375.    (2)  


Now divide eq(2) by eq(1) (both sides). After canceling common multipliers, you will get


r%5E3 = 4375%2F280 = 15.625.


Hence,  r = root%283%2C15.625%29 = 2.5.


Thus the common difference is  r = 2.5.


The equation (1) the becomes

a%5B1%5D%2A2.5%2A%281%2B2.5%29 = 280,   which implies  a%5B1%5D = 280%2F%282.5%2A3.5%29 = 32.


Answer.  The first term is 32.  The common difference is 2.5.

Solved.

------------------
There is a bunch of lessons on geometric progressions in this site
    - Geometric progressions
    - The proofs of the formulas for geometric progressions
    - Problems on geometric progressions
    - Word problems on geometric progressions
    - One characteristic property of geometric progressions
    - Solved problems on geometric progressions
    - Fresh, sweet and crispy problem on arithmetic and geometric progressions
    - Mathematical induction and geometric progressions
    - Mathematical induction for sequences other than arithmetic or geometric


Also,  you have this free of charge online textbook in ALGEBRA-II in this site
    - ALGEBRA-II - YOUR ONLINE TEXTBOOK.

The referred lessons are the part of this online textbook under the topic "Geometric progressions".


Save the link to this textbook together with its description

Free of charge online textbook in ALGEBRA-II
https://www.algebra.com/algebra/homework/complex/ALGEBRA-II-YOUR-ONLINE-TEXTBOOK.lesson

into your archive and use when it is needed.