SOLUTION: The 13th and 7th terms of an arithmetic sequence are 15 and 51 respectively Which term is equal to-21? Show that 66 is not a term of the sequence

Algebra ->  Sequences-and-series -> SOLUTION: The 13th and 7th terms of an arithmetic sequence are 15 and 51 respectively Which term is equal to-21? Show that 66 is not a term of the sequence      Log On


   



Question 1109441: The 13th and 7th terms of an arithmetic sequence are 15 and 51 respectively

Which term is equal to-21?
Show that 66 is not a term of the sequence

Found 2 solutions by josgarithmetic, greenestamps:
Answer by josgarithmetic(39618) About Me  (Show Source):
You can put this solution on YOUR website!
From term #7 to term #13 is six common differences.
Index 7, term 51.
Index 13, term 15.
51%2B6d=15
6d=15-51
d=-36%2F6
d=-6
-
If first term is A,
then A-%28n-1%29%2A6 is general term;
A-%2813-1%296=15
A-12%2A6=15
A=72%2B15
A=87
General Term, highlight_green%2887-6%28n-1%29%29
.
.
.

********MISTAKE*****MISMATCHED INDICES WITH TERMS****************

common difference d, 15%2B6%2Ad=51
6d=51-15
6d=46
d=46%2F6=23%2F3
-
A, initial term
A%2B%28n-1%29%2823%2F3%29, general term
-
A%2B%287-1%29%2823%2F3%29=15
A=15-6%2823%2F3%29
A=%2845-6%2A23%29%2F3
A=-31
-
General Term: cross%28-31%2B%28n-1%29%2823%2F3%29%29

Which term is -21?
-31%2B%28n-1%29%2823%2F3%29=-21-------solve for n.

Is 66 one of the terms?
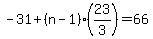
-31%2B%28n-1%29%2823%2F3%29=66-------should find n is NOT an integer and NOT a whole number.

Answer by greenestamps(13200) About Me  (Show Source):
You can put this solution on YOUR website!


An arithmetic error in the beginning of the work shown by the other tutor makes the rest of her response incorrect....

It is 6 more terms from the 7th to the 13th; the value changes from 51 to 15, a decrease of 36. So the common difference is -36/6 = -6.

-21 is 36 less than 15, which is the 13th term. You could use the common difference of -6 to determine which term is -21. However, we already know that the difference is 36 when the terms are 6 terms apart. So the term that is -21 is term #(13+6), or term 19.

The difference between 66 and 51 is 15, which is not a multiple of 6; therefore since 51 is a term of the sequence, 66 is not.