SOLUTION: t3 = 20, t6 = 160, s5 = ?. The third term is 20 and the sixth term is 160. What is the sum of the first 5 terms. This is part of geometric series questions so can you plz show me

Algebra ->  Sequences-and-series -> SOLUTION: t3 = 20, t6 = 160, s5 = ?. The third term is 20 and the sixth term is 160. What is the sum of the first 5 terms. This is part of geometric series questions so can you plz show me      Log On


   



Question 1108441: t3 = 20, t6 = 160, s5 = ?.
The third term is 20 and the sixth term is 160. What is the sum of the first 5 terms. This is part of geometric series questions so can you plz show me how to do it using formulas.
Thankyou

Answer by KMST(5328) About Me  (Show Source):
You can put this solution on YOUR website!
Teachers like formulas, but the problem is that the same formula could be written differently by different teachers.
With some luck, the formulas your teacher uses formulas that look like the ones I will type below.
t%5Bn%5D%22=%22t%5B1%5D%2Ar%5E%28%28n-1%29%29
S%5Bn%5D%22=%22t%5B1%5D%2A%28r%5En-1%29%2F%28r-1%29
The first formula, applied for n=3 and n=6 says that
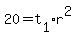
t%5B3%5D%22=%22t%5B1%5D%2Ar%5E2 and t%5B6%5D%22=%22t%5B1%5D%2Ar%5E5 .
The problem gives us the value of those terms, so
20=t%5B1%5D%2Ar%5E2 and 160=t%5B1%5D%2Ar%5E5 .
Dividing one by the other,
160%2F20%22=%22t%5B1%5D%2Ar%5E5%2F%28t%5B1%5D%2Ar%5E2%29
8=r%5E3
2%5E3=r%5E2
r=2
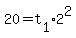
Going back to 20=t%5B1%5D%2Ar%5E2 and substituting r=2 , we get
20=t%5B1%5D%2A2%5E2
20=t%5B1%5D%2A4
20%2F4=t%5B1%5D
t%5B1%5D=5 .
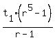
Now we can apply the second formula for n=5 ,
S%5B5%5D%22=%22t%5B1%5D%2A%28r%5E5-1%29%2F%28r-1%29 ,
and substituting the values found before for r and t%5B1%5D ,
S%5B5%5D%22=%225%2A%282%5E5-1%29%2F%282-1%29
S%5B5%5D%22=%225%2A%2832-1%29%2F1
S%5B5%5D%22=%225%2A31
highlight%28S%5B5%5D=155%29