|
Question 1096592: Use mathematical induction to prove 3 is a factor of 4^n - 1. I'm realky confused. Please help me. Thank you so much.
Answer by greenestamps(13200) (Show Source):
You can put this solution on YOUR website! I find proofs using mathematical induction very pleasing. You show that a proposition is true for some starting value; then you show that if it is true for an arbitrary value it logically follows that it is also true for the next value; and then you logically conclude that it is always true.
So let's look at the proposition we are trying to prove:
is divisible by 3
We first need to show it is true for some initial value. Usually that initial value is 1; but sometimes it is 0, or in some cases it might be some small positive integer like 3 or 4. In this example, starting with n=0 is not very interesting, because the statement then says that 0 is divisible by 3. So let's start with n=1; then the statement says
is divisible by 3.
That's certainly true, so we are done with the first step.
To finish the proof, we need to show that assuming the statement is true for some integer k, it logically follows that it is also true for the integer k+1.
So we assume this is true:
is divisible by 3.
We need to show that, with this assumption, we can show that is also divisible by 3. So let's look at that expression 

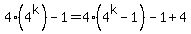
At this point, we have an expression in our work. We know (we assumed!) that is divisible by 3; so we want to somehow get that expression in our work. So we continue with...

In that step we first subtracted 4 (by adding the -1 in the parentheses) and then added 4 to balance things out. Then continuing further...

But we know is divisible by 3, so is divisible by 3; and clearly 3 is divisible by 3.
So we have shown that is divisible by 3 if is divisible by 3 -- and thus we have completed the proof by mathematical induction.
|
|
|
| |