SOLUTION: In a geometrical progression the sum of the 2nd and the 3rd terms is 6 and the sum of the 3rd and 4th term is -12.Find the 1st term and the common ratio.

Algebra ->  Sequences-and-series -> SOLUTION: In a geometrical progression the sum of the 2nd and the 3rd terms is 6 and the sum of the 3rd and 4th term is -12.Find the 1st term and the common ratio.      Log On


   



Question 1096413: In a geometrical progression the sum of the 2nd and the 3rd terms is 6 and the sum of the 3rd and 4th term is -12.Find the 1st term and the common ratio.
Answer by KMST(5328) About Me  (Show Source):
You can put this solution on YOUR website!
If the first term is b , and the common ratio is r ,
the second, third, and fourth terms are respectively
br , br%5E2 and br%5E3 .
The problem says that
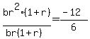
br%2Bbr%5E2=6 --> br%281%2Br%29=6 , and that
br%5E2%2Bbr%5E3=-12 --->br%5E2%281%2Br%29=-12
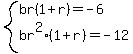
system%28br%281%2Br%29=-6%2Cbr%5E2%281%2Br%29=-12%29 --> br%5E2%281%2Br%29%2F%28br%281%2Br%29%29=%28-12%29%2F6 -->highlight%28r=-2%29
system%28r=-2%2Cbr%281%2Br%29=6%29 --> -2b%28-2%2B1%29=6 --> -2b%28-1%29=6 --> 2b=6 --> b=6%2F2 --> highlight%28b=3%29