SOLUTION: How to find the eigtht term of the harmonic sequence 1/4,1/8,1/12
Algebra
->
Sequences-and-series
-> SOLUTION: How to find the eigtht term of the harmonic sequence 1/4,1/8,1/12
Log On
Algebra: Sequences of numbers, series and how to sum them
Section
Solvers
Solvers
Lessons
Lessons
Answers archive
Answers
Click here to see ALL problems on Sequences-and-series
Question 1093489
:
How to find the eigtht term of the harmonic sequence 1/4,1/8,1/12
Answer by
Fombitz(32388)
(
Show Source
):
You can
put this solution on YOUR website!
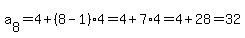
So find the sequence 4,8,12,...
Look like the difference in terms is 4 with a starting term of 4.
So the eight term would be,
So the harmonic sequence term would be the reciprocal,