SOLUTION: Find the sum of the first 100 terms in the series 1/(1*2) + 1/(2*3) + 1/(3*4) + ... + 1/(n*(n+1))

Algebra ->  Sequences-and-series -> SOLUTION: Find the sum of the first 100 terms in the series 1/(1*2) + 1/(2*3) + 1/(3*4) + ... + 1/(n*(n+1))      Log On


   



Question 1089864: Find the sum of the first 100 terms in the series
1/(1*2) + 1/(2*3) + 1/(3*4) + ... + 1/(n*(n+1))

Answer by ikleyn(53763) About Me  (Show Source):
You can put this solution on YOUR website!
.
    =     ( represent each term 1%2F%28k%2A%28k%2B1%29%29 as the difference 1%2Fk+-+1%2F%28k%2B1%29. You will get )


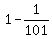
=  (1+-+1%2F2)) + (1%2F2+-+1%2F3%29) + (1%2F3-1%2F4}} + . . . + (1%2F100+-+1%2F101) =    ( cancel all intermediate terms ) = 


=  1+-+1%2F101%7C%7C%7C+=+%7B%7B%7B100%2F101.

Answer.   100%2F101.