SOLUTION: What is the next fraction in this sequence? Simplify your answer. 1/72, 1/36, 1/18, 1/9

Algebra ->  Sequences-and-series -> SOLUTION: What is the next fraction in this sequence? Simplify your answer. 1/72, 1/36, 1/18, 1/9       Log On


   



Question 1086898: What is the next fraction in this sequence? Simplify your answer.
1/72, 1/36, 1/18, 1/9


Found 2 solutions by MathLover1, Edwin McCravy:
Answer by MathLover1(20850) About Me  (Show Source):
You can put this solution on YOUR website!

1%2F72, 1%2F36, 1%2F18, 1%2F9+
this is a geometric sequence
if we first term multiply by 2, we will get second term
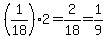
%281%2F72%292=2%2F72=1%2F36...do same with second term to get third term
%281%2F36%292=2%2F36=1%2F18,
%281%2F18%292=2%2F18=1%2F9
next fraction is:
%281%2F9+%292=2%2F9
%282%2F9%292=4%2F9
so, sequence is
1%2F72, 1%2F36, 1%2F18, 1%2F9,+2%2F9, 4%2F9, 8%2F9, 16%2F9, 32%2F9, ...
general formula:
a%5Bn%5D+=+2%5E%28n+-+4%29%2F9+

Answer by Edwin McCravy(20056) About Me  (Show Source):
You can put this solution on YOUR website!

The numerators are all 1's, and each denominator is one-half
of the preceding denominator, so the next term will have a
numerator of 1 and a denominator of half of 9 and will be:

1%5E%22%22%2F%289%2F2%29

but that's not simplified, so

  

Edwin