SOLUTION: In preparing for a marathon run in the spring, Joelle runs 5 miles in week 4 of training and 10 miles in week 14. Joelle's weekly increase in mileage follows an arithmetic sequence

Algebra ->  Sequences-and-series -> SOLUTION: In preparing for a marathon run in the spring, Joelle runs 5 miles in week 4 of training and 10 miles in week 14. Joelle's weekly increase in mileage follows an arithmetic sequence      Log On


   



Question 1086266: In preparing for a marathon run in the spring, Joelle runs 5 miles in week 4 of training and 10 miles in week 14. Joelle's weekly increase in mileage follows an arithmetic sequence.
a) write the general term that relates the number of mile of the week number of training.
b) An official marathon is 26 mile long. In which week would Joelle run at least 26 miles?
c) What assumption is made in order to answer part b.? what are some reasons why this may not be a good assumption?

Answer by josmiceli(19441) About Me  (Show Source):
You can put this solution on YOUR website!
The formula is:
+a%5Bn%5D+=+a%5B1%5D+%2B+%28+n-1+%29%2Ad+
----------------------------
You are given that:
+a%5B4%5D+=+5+
+a%5B14%5D+=+10+
---------------------
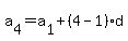
(1) +a%5B4%5D+=+a%5B1%5D+%2B+%28+4-1+%29%2Ad+
(1) +5+=+a%5B1%5D+%2B+3d+
-----------------------------
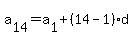
(2) +a%5B14%5D+=+a%5B1%5D+%2B+%28+14+-+1+%29%2Ad+
(2) +10+=+a%5B1%5D+%2B+13d+
----------------------------
Subtract (1) from (2)
(2) +10+=+a%5B1%5D+%2B+13d+
(1) +-5+=-+a%5B1%5D+-+3d+
-----------------------
+5+=+10d+
+d+=+1%2F2+
and
(1) +5+=+a%5B1%5D+%2B+3d+
(1) +5+=+a%5B1%5D+%2B+3%2A%281%2F2%29+
(1) +a%5B1%5D+=+5+-+3%2F2+
(1) +a%5B1%5D+=+7%2F2+
----------------------------
a)
+a%5Bn%5D+=+7%2F2+%2B+%28+n-1+%29%2A%281%2F2%29+
relates number of miles, +a%5Bn%5D+ and week number +n+
b)
+a%5Bn%5D+=+26+
+a%5Bn%5D+=+7%2F2+%2B+%28+n-1+%29%2A%281%2F2%29+
+26+=+7%2F2+%2B+%28+n-1+%29%2A%281%2F2%29+
+52+=+7+%2B+n+-+1+
+n+=+46+
In week 46 she would run at least 26 mi
c)
The assumption is that the sequence would continue
to be arithmetic no matter how big +n+ is