SOLUTION: The sum to m term of the series 1 +11+111...... upto m term is equal to:

Algebra ->  Sequences-and-series -> SOLUTION: The sum to m term of the series 1 +11+111...... upto m term is equal to:      Log On


   



Question 1084552: The sum to m term of the series 1 +11+111...... upto m term is equal to:
Answer by math_helper(2461) About Me  (Show Source):
You can put this solution on YOUR website!
+a%5Bk%5D+=+%281%2F9%29%2810%5Ek+-+1%29+ k=1,2,3,…
+S%5Bn%5D+=+sum+%28++%281%2F9%29%2A%2810%5Ek+-+1%29%2C+k=1%2C+n+%29+
+S%5B1%5D++=+1++
+S%5B2%5D+=+12+
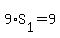
+S%5B3%5D+=+123+
--
+9%2AS%5B1%5D++=+9++
+9%2AS%5B2%5D+=+108+
+9%2AS%5B3%5D+=+1107++
Didn't see how 9*S[n] would help, ideally looking for something that is closer to 10^n for each S[n], so we can find a pattern in the amounts to subtract from 10^n to arrive at S[n]:

Note that
+81%2AS%5B1%5D+=+81+=+10%5E2+-+10+-+9++
+81%2AS%5B2%5D+=+972+=+10%5E3+-+10+-+9%2A2+
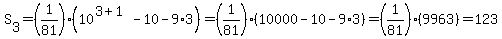
+81%2AS%5B3%5D+=+9963+=+10%5E4+-+10+-+9%2A3+
gives us +81%2AS%5Bn%5D+=+10%5E%28n%2B1%29+-10+-+9n+
and +highlight%28S%5Bn%5D+=+%281%2F81%29%2810%5E%28n%2B1%29+-+10+-+9n%29%29+

Spot Check:
(ok)
(ok)

I found this by trial and error, maybe another tutor has a more structured approach.