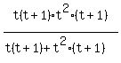
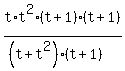
SOLUTION: If t>o then (t2+t)(t3+t2) over (t2+t)+(t3+t2) equals what an how do i figure out the problem. The options I get are A. 1 B. t3square+t2square+t C. t D.t2square E. (t+1)2square

Algebra ->  Sequences-and-series -> SOLUTION: If t>o then (t2+t)(t3+t2) over (t2+t)+(t3+t2) equals what an how do i figure out the problem. The options I get are A. 1 B. t3square+t2square+t C. t D.t2square E. (t+1)2square      Log On


   



Question 1083001: If t>o then (t2+t)(t3+t2) over (t2+t)+(t3+t2) equals what an how do i figure out the problem. The options I get are A. 1 B. t3square+t2square+t C. t D.t2square E. (t+1)2square
Answer by MathLover1(20850) About Me  (Show Source):