SOLUTION: express 3-6+12-24+ using sigma notation
Algebra
->
Sequences-and-series
-> SOLUTION: express 3-6+12-24+ using sigma notation
Log On
Algebra: Sequences of numbers, series and how to sum them
Section
Solvers
Solvers
Lessons
Lessons
Answers archive
Answers
Click here to see ALL problems on Sequences-and-series
Question 1081531
:
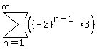
express 3-6+12-24+ using sigma notation
Answer by
math_helper(2461)
(
Show Source
):
You can
put this solution on YOUR website!
which may be written: