Question 1075196: Hello,
could I please have some help with this question,
Prove by mathematical induction that;
(1 × 2) + (3 × 4) + · · · + (2n − 1) × 2n = n(n + 1)(4n − 1)/3
for all n ∈ N.
Answer by KMST(5328) (Show Source):
You can put this solution on YOUR website! The left hand side of the equation is the sum of
products of the form ,
starting from .
You need to prove that
1) it is true for , the fisrt natural number in N.
2) If it is true for , it must be true for .
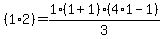
1) For the equation becomes
The equation becomes
<---> ,
which is obviously true.
2) For the equation becomes
.
The sum on the left hand sides has terms,
If the formula you want to prove is true for ,
those terms add to .
For the equation becomes

and that is what you have to prove, staring from
.
The sum on the left hand sides have the same first terms
up to , the term number ,

Starting from
,
lets add to both sides of the equal sign.
.
Now the left hand side looks like the sum of terms you want.
If you get the right hand side to look like
,
you have proven part 2), so it's just a little algebra from now on.
.
.
The sum on the left hand sides has terms,
If the formula you want to prove is true for ,
those terms add to .



At this point, you realize that ,
so it's already really proven that
if the formula you had to prove works for 
it must work for .
You can continue, writing
,
and
.
|
|
|