SOLUTION: What is the pattern? 1, -4, 9, -16
Algebra
->
Sequences-and-series
-> SOLUTION: What is the pattern? 1, -4, 9, -16
Log On
Algebra: Sequences of numbers, series and how to sum them
Section
Solvers
Solvers
Lessons
Lessons
Answers archive
Answers
Click here to see ALL problems on Sequences-and-series
Question 1071717
:
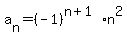
What is the pattern? 1, -4, 9, -16
Answer by
math_helper(2461)
(
Show Source
):
You can
put this solution on YOUR website!
a1 = 1
a2 = -4
a3 = 9
a4 = -16
:
(
)