SOLUTION: Write the explicit formula that represents the geometric sequence -2, 8, -32, 128

Algebra ->  Sequences-and-series -> SOLUTION: Write the explicit formula that represents the geometric sequence -2, 8, -32, 128       Log On


   



Question 1068107: Write the explicit formula that represents the geometric sequence -2, 8, -32, 128

Found 2 solutions by Edwin McCravy, Fombitz:
Answer by Edwin McCravy(20056) About Me  (Show Source):
You can put this solution on YOUR website!
-2=-2%5E1

8=2%5E3

-32=-2%5E5

128=2%5E7

The terms of the sequence are the odd powers of 2
with alternating signs.

The general term for the sequence of exponents 1, 3, 5, 7, ...
is 2n-1

The general term for the sequence of multipliers 1, -1, 1, -1, 1, ...
which causes alternating signs is %28-1%29%5E%28n%2B1%29

So the general formula is

a%5Bn%5D%22%22=%22%22%28-1%29%5E%28n%2B1%29%2A2%5E%282n-1%29

Edwin



Answer by Fombitz(32388) About Me  (Show Source):
You can put this solution on YOUR website!
Look at each successive term compared to the previous term,
8%2F%28-2%29=-4
%28-32%29%2F8=-4
128%2F%28-32%29=-4
So,
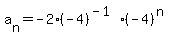
a%5Bn%5D=-2%28-4%29%5E%28n-1%29
a%5Bn%5D=-2%28-4%29%5E%28-1%29%2A%28-4%29%5E%28n%29
a%5Bn%5D=%28%28-2%29%2F%28-4%29%29%2A%28-4%29%5En
a%5Bn%5D=%281%2F2%29%28-4%29%5En