SOLUTION: what is the formula for sequences {0.2,0.22,0.222,0.2222…}

Algebra ->  Sequences-and-series -> SOLUTION: what is the formula for sequences {0.2,0.22,0.222,0.2222…}       Log On


   



Question 1054536: what is the formula for sequences {0.2,0.22,0.222,0.2222…}

Answer by Edwin McCravy(20056) About Me  (Show Source):
You can put this solution on YOUR website!

The nth term is the sum of the first n terms of a G.P. 
with first term a1 = 0.2 and common ratio r = 0.1:

0.2+0.02+0.002+0.0002+...+0.(n-1 zeros then a 2)

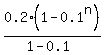
which, using the formula S%5Bn%5D=a%5B1%5D%281-r%5En%29%2F%281-r%29,

gives 0.2%281-0.1%5En%29%2F%281-0.1%29 =

0.2%281-0.1%5En%29%2F0.9 =

expr%280.2%2F0.9%29%281-0.1%5En%29 =

expr%282%2F9%29%281-0.1%5En%29 <--- formula for the nth term.

Edwin