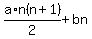
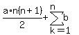
Question 1051855: Find a and b if , given that
Found 2 solutions by Edwin McCravy, Bakr.R: Answer by Edwin McCravy(20056) (Show Source): Answer by Bakr.R(8) (Show Source):
You can put this solution on YOUR website! Thank you Edwin, that was actually extremely helpful and a unique method, it wasn't how I would tackle the problem, but the question did ask a series of questions prior (in my maths textbook) to force me to use the equation to find the answer (with the word "Hence"), so although your method works efficiently (and far more easily), a specific method was requested, and for those seeking that particular method, (I found during this question was being solved) here's how it was done.

With added coefficients, we can separate the terms each with its own sum, we reach:

Since we earlier found out 
We may deduce that (with substitution)

and with coefficient b being the only term,
(since b is the only term and is a constant)
We expand terms

We now follow a method of comparing coefficiants marked by the same variable, having each coefficient match its opposing equal value.
By splitting fractions to factorize to one variable of each, we have


And so



And moving to the second comparison,
We may substitute a



And with that relation we find a=16, b=3
|
|
|