SOLUTION: Find the sum of the series 1x2 + 2x2^2 + 3x2^3 +...+ 100x2^100

Algebra ->  Sequences-and-series -> SOLUTION: Find the sum of the series 1x2 + 2x2^2 + 3x2^3 +...+ 100x2^100       Log On


   



Question 105132: Find the sum of the series
1x2 + 2x2^2 + 3x2^3 +...+ 100x2^100

Answer by MathLover1(20850) About Me  (Show Source):
You can put this solution on YOUR website!
S+=1%2A2%2B2%2A2%5E2%2B3.2%5E2....100%2A2%5E100
2S+=+1%2A2%5E2%2B2%2A2%5E3%2B......%2B99%2A2%5E100+%2B+100%2A2%5E+101
Subtracting these two, we get:
S - 2S = -S
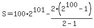
-S+=+2%2B2%5E2%2B2%5E3...........100%2A2%5E101
S=100%2A2%5E101-2%282%5E100-1%29%2F%282-1%29
= 100%2A2%5E101-2%5E101%2B2
= 99%2A2%5E101%2B2