SOLUTION: Given the geometric sequence 6, -3,1.5,-0.75, 0.375 a. Find the next two terms of the sequence b. Write a closed forumla and a recursive formula for the sequence c. Write

Algebra ->  Sequences-and-series -> SOLUTION: Given the geometric sequence 6, -3,1.5,-0.75, 0.375 a. Find the next two terms of the sequence b. Write a closed forumla and a recursive formula for the sequence c. Write       Log On


   



Question 1047523: Given the geometric sequence 6, -3,1.5,-0.75, 0.375
a. Find the next two terms of the sequence
b. Write a closed forumla and a recursive formula for the sequence
c. Write the partial sum Sn (s subscript n) in Sigma notation

Answer by robertb(5830) About Me  (Show Source):
You can put this solution on YOUR website!
a. a%5B6%5D+=+-0.1875, a%5B7%5D+=+0.09375, with r = -1/2.

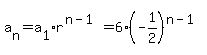
b. a%5Bn%5D+=+a%5B1%5D%2Ar%5E%28n-1%29+=+6%2A%28-1%2F2%29%5E%28n-1%29

c. .