SOLUTION: Help on this input/output table please.. 'Show & express the relationship using variables' Input--Output 0-0 1-16 2-64 3-144 4-256

Algebra ->  Sequences-and-series -> SOLUTION: Help on this input/output table please.. 'Show & express the relationship using variables' Input--Output 0-0 1-16 2-64 3-144 4-256      Log On


   



Question 1046870: Help on this input/output table please..
'Show & express the relationship using variables'
Input--Output
0-0
1-16
2-64
3-144
4-256

Answer by KMST(5328) About Me  (Show Source):
You can put this solution on YOUR website!
x= input
f%28x%29= output
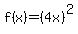
f%28x%29=%284x%29%5E2 or f%28x%29=16x%5E2
f%280%29=16%2A0%5E2=16%2A0=0
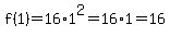
f%281%29=16%2A1%5E2=16%2A1=16
f%282%29=16%2A2%5E2=16%2A4=64
f%283%29=16%2A3%5E2=16%2A9=144
f%284%29=16%2A4%5E2=16%2A16=256