SOLUTION: x+y +(x^2+xy+y^2)+(x^3+x^2y+xy^2+y^3)+...to infinite terms

Algebra ->  Sequences-and-series -> SOLUTION: x+y +(x^2+xy+y^2)+(x^3+x^2y+xy^2+y^3)+...to infinite terms       Log On


   



Question 1043793: x+y +(x^2+xy+y^2)+(x^3+x^2y+xy^2+y^3)+...to infinite terms

Answer by ikleyn(52788) About Me  (Show Source):
You can put this solution on YOUR website!
.
Let me reformulate the problem in this way:

   x and y are real numbers such that |x| < 1  and |y|< 1.
   Find the infinite sum  x%2By+%2B%28x%5E2%2Bxy%2By%5E2%29%2B%28x%5E3%2Bx%5E2y%2Bxy%5E2%2By%5E3%29%2B+ellipsis

Solution

Let "S" be the infinite sum 

S = x%2By+%2B%28x%5E2%2Bxy%2By%5E2%29%2B%28x%5E3%2Bx%5E2y%2Bxy%5E2%2By%5E3%29%2B+ellipsis.

Multiply S by (x-y). Then

S = .

Now notice that

%28x%2By%29%2A%28x-y%29 = x%5E2+-+y%5E2,               (1)

%28x%5E2%2Bxy%2By%5E2%29%2A%28x-y%29 = x%5E3+-+y%5E3,        (2)

%28x%5E3%2Bx%5E2y%2Bxy%5E2%2By%5E3%29%2A%28x-y%29 = x%5E4+-+y%5E4  (3)   (make yourself this calc . . . )

And so on . . . 

So, I suppose (and I am almost sure) that each parenthesed term in the original sum, multiplied by (x-y) will give x%5En+-+y%5En.   (4)

   //"The margins of this page are too narrow . . . "

Thus we have

  S*(x-y) = %28x%5E2+%2B+x%5E3+%2B+x%5E4+%2B+ellipsis%29 - %28y%5E2+%2B+y%5E3+%2B+y%5E4+%2B+ellipsis%29 =     (5)

     Now apply the formula for the infinite sum of a geometric progression

= x%5E2%2F%281-x%29+-+y%5E2%2F%281-y%29.

Simplify it and then cancel the factor (x-y) in both sides.

Finally, you will get


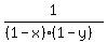
    S = %28x+-+xy+%2B+y%29%2F%28%281-x%29%2A%281-y%29%29 = 1 - 1%2F%28%281-x%29%2A%281-y%29%29.


Again, the key is the idea with the formulas (1), (2), (3), (4), (5).

Answer.  S = %28x+-+xy+%2B+y%29%2F%28%281-x%29%2A%281-y%29%29 = 1 - 1%2F%28%281-x%29%2A%281-y%29%29.