SOLUTION: Hello! In this problem, I had some trouble: "Find the value of t(subscript 2) + t(sub3) + t(sub4) + ... + t(sub 98) if t (sub 1) + t (sub 2) t (sub 3)... is an arithmetic progressi

Algebra ->  Sequences-and-series -> SOLUTION: Hello! In this problem, I had some trouble: "Find the value of t(subscript 2) + t(sub3) + t(sub4) + ... + t(sub 98) if t (sub 1) + t (sub 2) t (sub 3)... is an arithmetic progressi      Log On


   



Question 1039350: Hello! In this problem, I had some trouble: "Find the value of t(subscript 2) + t(sub3) + t(sub4) + ... + t(sub 98) if t (sub 1) + t (sub 2) t (sub 3)... is an arithmetic progression with the common difference = 1, and S (sub 98) = 137.
Please help me on this one. I've screwed up two solutions of it already...

Found 2 solutions by Edwin McCravy, Fombitz:
Answer by Edwin McCravy(20056) About Me  (Show Source):
You can put this solution on YOUR website!
Hello! In this problem, I had some trouble:
"Find the value of t2 + t3 + t4 + ... + t98
if
t1 + t2 + t3 +... is an arithmetic progression
with the common difference = 1, and S98 = 137.

Use the sum formula:

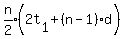
S%5Bn%5D%22%22=%22%22expr%28n%2F2%29%282t%5B1%5D+%2B+%28n-1%29d%5E%22%22%29

with n=98, d=1

S%5B98%5D%22%22=%22%22expr%2898%2F2%29%282t%5B1%5D+%2B+%2898-1%291%5E%22%22%29  

S%5B98%5D%22%22=%22%2249%282t%5B1%5D+%2B+97%29

Substitute S%5B98%5D%22%22=%22%22137

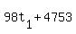
137%22%22=%22%2249%282t%5B1%5D+%2B+97%29

137%22%22=%22%2298t%5B1%5D+%2B+4753%29

98t%5B1%5D+%2B+4753%29%22%22=%22%22137

98t%5B1%5D%22%22=%22%22-4616

t%5B1%5D%22%22=%22%22-4616%2F98

t%5B1%5D%22%22=%22%22-2308%2F49

We want to find 

t2 + t3 + t4 + ... + t98 

Which we can get by subtracting t1 from S98 or 137

Answer: 137-%28-2308%2F49%29%22%22=%22%22137%2A49%2F49%2B2308%2F49%22%22=%22%226713%2F49%2B2308%2F49%22%22=%22%229021%2F49

An ugly answer, but it's correct,
according to what is given!

Edwin

Answer by Fombitz(32388) About Me  (Show Source):
You can put this solution on YOUR website!
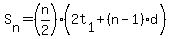
You know that the sum of an arithmetic progression in terms of common difference and first term is,
S%5Bn%5D=%28n%2F2%29%282t%5B1%5D%2B%28n-1%29%2Ad%29
So,
S%5B98%5D=%2898%2F2%29%282t%5B1%5D%2B%2898-1%29%2A1%29
137=49%282t%5B1%5D%2B97%29
2t%5B1%5D%2B97=137%2F49
2t%5B1%5D=137%2F49-97
t%5B1%5D=137%2F98-97%2F2
Now that you have the first term you can subtract it from the sum to get the value that you're looking for.
t%5B1%5D%2BX=S%5B98%5D
137%2F98-97%2F2%2BX=137
X=137-137%2F98%2B97%2F2
or with a common denominator,
X=9021%2F49