SOLUTION: Find the 6th term of (-4a+3b)^13

Algebra ->  Sequences-and-series -> SOLUTION: Find the 6th term of (-4a+3b)^13      Log On


   



Question 1034947: Find the 6th term of (-4a+3b)^13
Found 2 solutions by ikleyn, MathTherapy:
Answer by ikleyn(52788) About Me  (Show Source):
You can put this solution on YOUR website!
.
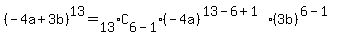
Find the 6th term of (-4a+3b)^13
~~~~~~~~~~~~~~~~~~~~~~~~~~~~~~~~~~~

  1-st term               2-nd term              3-rd term             4-th term             5-th term            6-th term

C%5B13%5D%5E0%2A%28-4a%29%5E13%2A%283b%29%5E0   C%5B13%5D%5E1%2A%28-4a%29%5E12%2A%283b%29%5E1   C%5B13%5D%5E2%2A%28-4a%29%5E11%2A%283b%29%5E2   C%5B13%5D%5E3%2A%28-4a%29%5E10%2A%283b%29%5E3   C%5B13%5D%5E4%2A%28-4a%29%5E9%2A%283b%29%5E4   C%5B13%5D%5E5%2A%28-4a%29%5E8%2A%283b%29%5E5


The 6-th term is C%5B13%5D%5E5%2A%28-4a%29%5E8%2A%283b%29%5E5  (the general formula is  C%5Bn%5D%5Ek%2A%28-4a%29%5E%28n-k%29%2A%283b%29%5Ek,  k = 0 (first term), 1 (the 2-nd term), 2 (the 3-rd term), . . . ).

Or, after simplifying, C%5B13%5D%5E5%2A%28-4a%29%5E8%2A%283b%29%5E5 = C%5B13%5D%5E5%2A4%5E8%2A3%5E5%2Aa%5E8%2Ab%5E5 = 1287%2A4%5E8%2A3%5E5%2Aa%5E8%2Ab%5E5 = 20495794176%2Aa%5E8%2Ab%5E5.


C%5B13%5D%5E5 = %2813%21%29%2F%285%21%2A8%21%29 = %2813%2A12%2A11%2A10%2A9%29%2F%281%2A2%2A3%2A4%2A5%29 = 1287  is the number of combination 13 things taken 5 at a time.


On combinations, see the lesson Introduction to Combinations in this site.


On binomial expansion see the lesson Binomial Theorem, Binomial Formula, Binomial Coefficients and Binomial Expansion.


Answer by MathTherapy(10552) About Me  (Show Source):
You can put this solution on YOUR website!
Find the 6th term of (-4a+3b)^13
Use the formula for a specific term in a binomial expansion: 
, where r = term number
%28-+4a+%2B+3b%29%5En
6th term of
6th term of %28-+4a+%2B+3b%29%5E13+=+%22+%22%5B13%5DC%5B5%5D+%2A+%28-+4a%29%5E8+%2A+%283b%29%5E5
6th term of = highlight_green%28matrix%281%2C3%2C+%2220%2C495%2C794%2C176%22%2C+a%5E8%2C+b%5E5%29%29