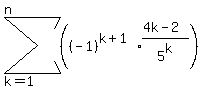
SOLUTION: Find sum to n terms of: (2/5)-(6/5^2)+(10/5^3)-(14/5^4).......
Algebra
->
Sequences-and-series
-> SOLUTION: Find sum to n terms of: (2/5)-(6/5^2)+(10/5^3)-(14/5^4).......
Log On
Algebra: Sequences of numbers, series and how to sum them
Section
Solvers
Solvers
Lessons
Lessons
Answers archive
Answers
Click here to see ALL problems on Sequences-and-series
Question 1030180
:
Find sum to n terms of:
(2/5)-(6/5^2)+(10/5^3)-(14/5^4).......
Answer by
Edwin McCravy(20056)
(
Show Source
):
You can
put this solution on YOUR website!