SOLUTION: Find the general term (1,1/3,-1/6,1/10,-1/15,1/21,....)
Algebra
->
Sequences-and-series
-> SOLUTION: Find the general term (1,1/3,-1/6,1/10,-1/15,1/21,....)
Log On
Algebra: Sequences of numbers, series and how to sum them
Section
Solvers
Solvers
Lessons
Lessons
Answers archive
Answers
Click here to see ALL problems on Sequences-and-series
Question 1025533
:
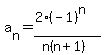
Find the general term
(1,1/3,-1/6,1/10,-1/15,1/21,....)
Answer by
robertb(5830)
(
Show Source
):
You can
put this solution on YOUR website!
I think you miswrote the first term--it should be -1. With that said the general term of the series is
.