SOLUTION: Please help me Given the geometric sequence: 33,12/1,48/11... Find an explicit formula for an. a_n= Find a_10=

Algebra ->  Sequences-and-series -> SOLUTION: Please help me Given the geometric sequence: 33,12/1,48/11... Find an explicit formula for an. a_n= Find a_10=       Log On


   



Question 1025107: Please help me

Given the geometric sequence: 33,12/1,48/11...

Find an explicit formula for an.
a_n=

Find a_10=

Answer by Edwin McCravy(20056) About Me  (Show Source):
You can put this solution on YOUR website!
To find the common ratio, r,

matrix%281%2C2%2Ccommon%2Cratio%29%22%22=%22%22matrix%281%2C2%2Csecond%2Cterm%29%2Fmatrix%281%2C2%2Cfirst%2Cterm%29%22%22=%22%22matrix%281%2C2%2Cthird%2Cterm%29%2Fmatrix%281%2C2%2Csecond%2Cterm%29%22%22=%22%22r

33,12/1,48/11

matrix%281%2C2%2Csecond%2Cterm%29%2Fmatrix%281%2C2%2Cfirst%2Cterm%29%22%22=%22%22

matrix%281%2C2%2Cthird%2Cterm%29%2Fmatrix%281%2C2%2Csecond%2Cterm%29%22%22=%22%22

r%22%22=%22%224%2F11

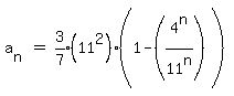
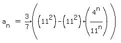
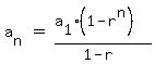
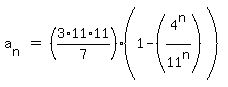
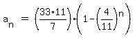
matrix%281%2C3%2C%0D%0Aa%5Bn%5D%2C%22%22=%22%22%2C%28a%5B1%5D%281-r%5En%29%29%2F%281-r%29%29






















a%5B10%5D%22%22=%22%2211115589725%2F214358881

approximately 51.85504642095981085103723787399319368531318280206920841315...

Edwin