SOLUTION: Write the explicit formula that represents the geometric sequence -2, 8, -32, 128
Algebra
->
Sequences-and-series
-> SOLUTION: Write the explicit formula that represents the geometric sequence -2, 8, -32, 128
Log On
Algebra: Sequences of numbers, series and how to sum them
Section
Solvers
Solvers
Lessons
Lessons
Answers archive
Answers
Click here to see ALL problems on Sequences-and-series
Question 1021708
:
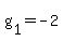
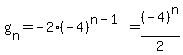
Write the explicit formula that represents the geometric sequence -2, 8, -32, 128
Answer by
robertb(5830)
(
Show Source
):
You can
put this solution on YOUR website!
and r = -4.
==>