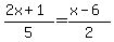
SOLUTION: solve for x 2x+1 over 5 = x-6 over 2

Algebra ->  Sequences-and-series -> SOLUTION: solve for x 2x+1 over 5 = x-6 over 2      Log On


   



Question 101825: solve for x
2x+1 over 5 = x-6 over 2

Answer by doukungfoo(195) About Me  (Show Source):
You can put this solution on YOUR website!
solving for x
%282x%2B1%29%2F5=%28x-6%29%2F2
first move everything to one side of the equation
lets move %28x-6%29%2F2 to the left side of the equation
to do this just subtract it from both sides like this:
%28%282x%2B1%29%2F5%29-%28%28x-6%29%2F2%29=%28%28x-6%29%2F2%29-%28%28x-6%29%2F2%29
the right side cancels out so we are left with this
%28%282x%2B1%29%2F5%29-%28%28x-6%29%2F2%29=0
Now to subtract the fractions on the left side we need find the LCD (least common denominator)The LCD for 5 and 2 is 10 so that gives us this
%28%284x%2B2%29%2F10%29-%28%285x-30%29%2F10%29=0
now we can subtract the fractions
%28-x%2B32%29%2F10=0
multiply both sides of the equation by 10
-x%2B32=0
subtract 32 from both sides
-x%2B32-32=0-32
-x+=+-32
divide both sides by -1
x=32
Answer: x = 32
Check:
replace x in original equation with 32
%282x%2B1%29%2F5=%28x-6%29%2F2
%282%2832%29%2B1%29%2F5=%2832-6%29%2F2
%2864%2B1%29%2F5=26%2F2
65%2F5=26%2F2
13=13
---------------------------------------------------------------
here is another approach to solving this problem
%282x%2B1%29%2F5=%28x-6%29%2F2
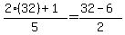
multiply both sides by 5
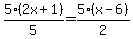
5%2A%282x%2B1%29%2F5=5%2A%28x-6%29%2F2
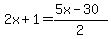
2x%2B1=%285x-30%29%2F2
now multiply both sides by 2
2%282x%2B1%29=2%2A%285x-30%29%2F2
4x%2B2=5x-30
move all x terms to one side of the equation and
all terms with out x to the opposite side of the equation
30%2B2=5x-4x
32+=+x