SOLUTION: ((64x^3y^2)^-1/6)/(8y^4x^5)/6z^3/(27yx^3z^-4/3)^1/3)^-4

Algebra ->  Sequences-and-series -> SOLUTION: ((64x^3y^2)^-1/6)/(8y^4x^5)/6z^3/(27yx^3z^-4/3)^1/3)^-4      Log On


   



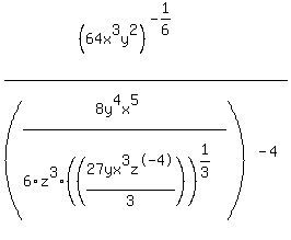
Question 1017826: ((64x^3y^2)^-1/6)/(8y^4x^5)/6z^3/(27yx^3z^-4/3)^1/3)^-4
Answer by Edwin McCravy(20056) About Me  (Show Source):
You can put this solution on YOUR website!
There is no way we can tell what is over what.


It could be this:



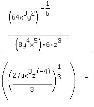
It could be this:



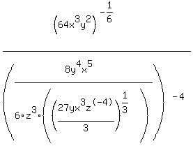
It could be this:



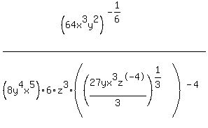
It could be this:



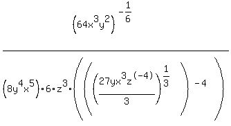
It could be this:



Or half a dozen others.  All are different problems.  Sorry. If you
will learn to use "PEMDAS" and to use parentheses properly to tell what 
is over what, we would be able to help you.

Edwin