SOLUTION: The second term and fifth term of a Geometric Progression (GP) are 1 and 1÷8 respectively. Find the common ration , first term and eight term.

Algebra ->  Sequences-and-series -> SOLUTION: The second term and fifth term of a Geometric Progression (GP) are 1 and 1÷8 respectively. Find the common ration , first term and eight term.      Log On


   



Question 1011821: The second term and fifth term of a Geometric Progression (GP) are 1 and 1÷8 respectively. Find the common ration , first term and eight term.
Answer by josgarithmetic(39618) About Me  (Show Source):
You can put this solution on YOUR website!
a%28r%29%5E%28n-1%29 would be the general term for the progression.

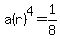
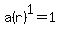
You know a%28r%29%5E1=1 and a%28r%29%5E4=1%2F8
Or more simply,
a%2Ar=1 and a%2Ar%5E4=1%2F8.

Do you see what can be done with this?